发布时间:2025-01-03来源:来源:护理部编辑:浏览: 次
编者按:为深入实施健康中国行动,宣传健康科学护理知识,助推全民科学素质全面提升,糖心vlog (简称中山一院广西医院)于2024年1月起推出护理科普栏目《健康“邕”护》,将健康领域的科学知识、科学方法、科学精神向公众进行普及传播,推动护理质量进一步提升,为群众提供更优质护理服务。
今天推出第30期《蒋慧琳:手术室的电离辐射, 怎么防护?》

在医院,看到下面这两个标识,大部分人都会紧张,恨不得离它远远的。

随着现代精准医学的发展,医院通常会把原本需要在不同手术室、分期才能完成的重大手术,合并在一个手术室里一次完成,实现一站式术前诊断、术中治疗、术后评估,所以手术室里就配备了CT、X光机等设备。在诊疗过程中不少患者会惴惴不安,担心受到了辐射伤害,甚至谈“辐”色变。
什么是“电离辐射”,又该怎样做好防护?今天让我们一起来涨知识!
什么是辐射,什么是电离辐射
辐射在日常生活中无处不在,光线、无线电波等电磁波的传播就叫辐射。自然界中的一切物体,只要温度在绝对零度以上,都以电磁波和粒子的形式时刻不停地向外传送热量,这种传送能量的方式也是辐射。
人们根据辐射能量的高低及电离物质的能力,把辐射划分为电离辐射和非电离辐射两类。非电离辐射能量较弱,如手机、电脑、微波炉、通信基站等设备发出的电磁波,都属于此种。我们需要防护的是能量较大、会对人体的细胞产生损害进而导致癌症的电离辐射。

▲图1
电离辐射对生物体的作用主要分为直接作用和间接作用两种方式(如图1所示)。
直接作用是指电离辐射直接作用于生物大分子,如DNA、蛋白质等,导致这些分子的电离、激发或化学键断裂,从而引起分子结构和性质的改变。间接作用则是电离辐射首先作用于水分子,导致水分子的电离和激发,生成一系列高活性的自由基(如氢自由基、羟自由基等),这些自由基再与生物大分子相互作用,引起生物大分子的损伤。
医学上一般采用毫西弗(mSv)来衡量辐射危害性,只有遭受100mSv以上的辐射量,人体患癌的概率才会明显增加。
如何采取有效措施进行防护
放射防护遵循的要素:时间防护和屏障防护,距离防护,个人防护。
1.时间防护和屏障防护:保证电离辐射不超标
我国颁布的《电离辐射防护与辐射源安全基本标准GB 18871-2002》明确了辐射防护的剂量限值体系和要求。该法规规定了从事核相关工作的人员和普通公众的年平均有效剂量限值,职业照射为20mSv,公众照射为1mSv。

▲基本安全标准的剂量限值
虽然每次CT检查的辐射量为2-15 mSv,但也不必太紧张,目前CT检查的辐射量都在安全范围内,而且CT设备中的X线管就像日常用的灯管,有不同的瓦数,还可调亮度,因此辐射量不是恒定的,是可以调节的。X光摄影的辐射量为0.1mSv,一次胸部X光检查,大致相当于日常生活10天所受的辐射,或者是单程坐飞机从东京飞往纽约所受的辐射。
2.距离防护:尽量远离辐射源
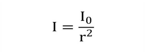
X射线强度随着距离变化的公式是:

其中I0是距离射线源r=1时候的强度,r是距离射线源的距离。这个公式反映了X射线强度随着距离的增加而按平方比例减少。
人体安全辐射强度的安全范围是50-100mGy,以CT机为例,其释放的辐射会随着距离的增长而衰减,一般情况下辐射范围不超过6米。只要保持在6米以上的距离,就可以有效地避免受到CT机释放的辐射影响,其辐射强度已经小于50mGy。CT机房的墙壁以及门窗经过改造,选用铅制防护层,能够有效地阻挡辐射。

▲图2
同理,在手术室使用中、小型C臂机时,远离C臂发射器,可减少受到射线的伤害。因为C臂射线发射器中的球管灯丝释放X射线,产生辐射,而平板接收装置并不会产生辐射。(如图2)
3.个人防护:注重关键部位的保护
射线对人体影响最大的是腺体,因此我们针对关键部位(如眼睛、甲状腺等)进行额外保护。医务人员佩戴铅围裙、铅手套、铅眼镜等保护装备的同时(如图3),也会用铅颈围和铅围裙为您做好腺体的保护。

▲图3
虽然在手术室治疗会接受一定剂量的的辐射,但医护部门已经按照规范进行了系统的防护,您大可不必过度担心。
其实啊,吸烟产生的辐射危害还更大,如果每天1包香烟,每年受到的辐射剂量是35mSv,远大于大多数的医疗辐射剂量。
护理专家名片

蒋慧琳
中山一院广西医院中心手术室执行护士长,副主任护师,中华护理学会手术室专科护士。
主持省级课题并结题1项,参与省级课题2项;发表论文十余篇,其中中文核心期刊2篇;获实用新型专利3项。
(来源:护理部)
返回顶部